
Simulate from Existing Data
Lisa DeBruine
2025-10-17
Source:vignettes/articles/sim_df.Rmd
sim_df.RmdThe sim_df() function produces a data table with the
same distributions and correlations as an existing data table. It
simulates all numeric variables from a continuous normal distribution
(for now).
For example, here is the relationship between speed and distance in
the built-in dataset cars.
cars %>%
ggplot(aes(speed, dist)) +
geom_point() +
geom_smooth(method = "lm", formula = "y~x")
Original cars dataset
You can create a new sample with the same parameters and 500 rows
with the code sim_df(cars, 500).
sim_df(cars, 500) %>%
ggplot(aes(speed, dist)) +
geom_point() +
geom_smooth(method = "lm", formula = "y~x")
Simulated cars dataset
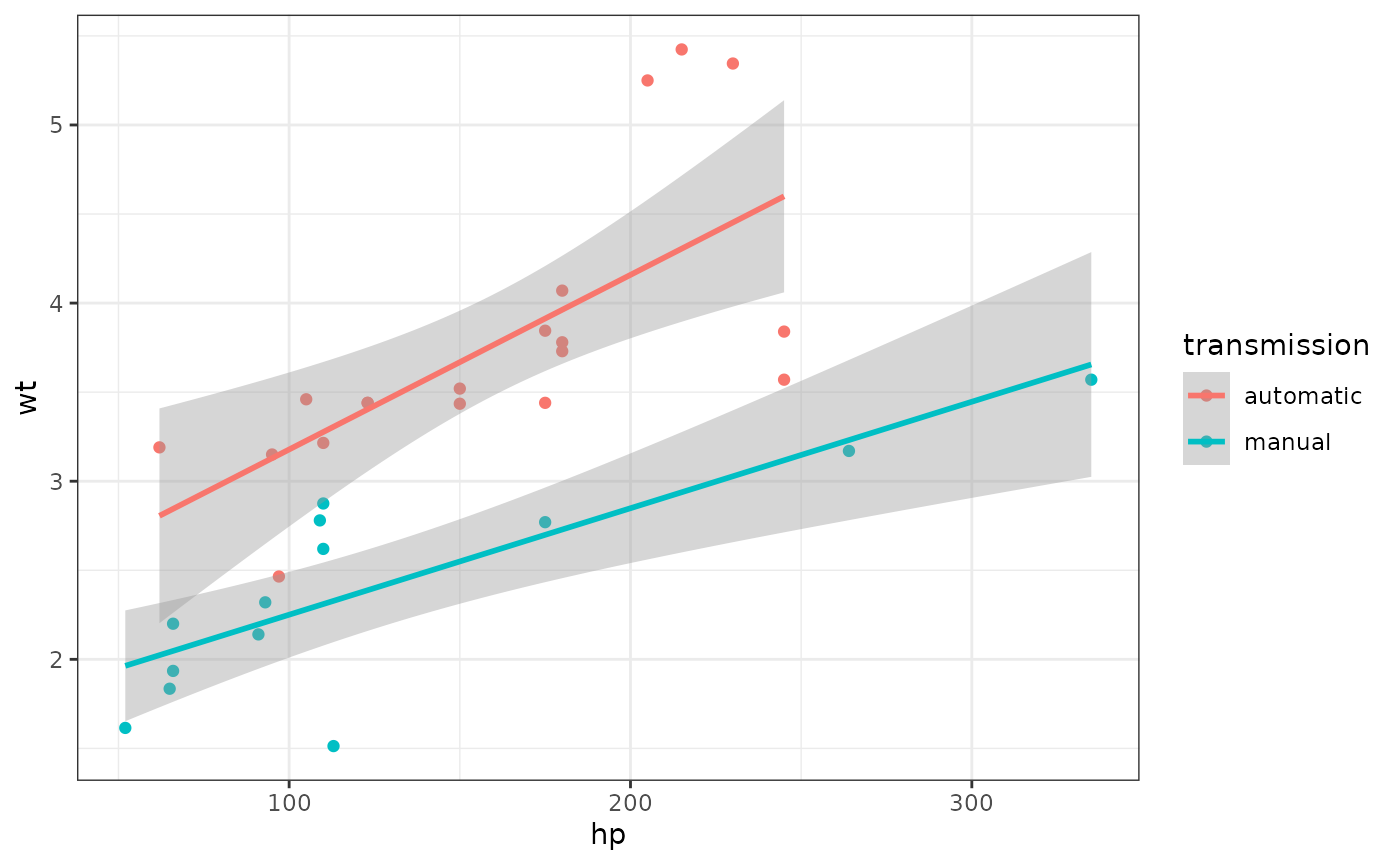
Between-subject variables
You can also optionally add between-subject variables. For example,
here is the relationship between horsepower (hp) and weight
(wt) for automatic (am = 0) versus manual
(am = 1) transmission in the built-in dataset
mtcars.
mtcars %>%
mutate(transmission = factor(am, labels = c("automatic", "manual"))) %>%
ggplot(aes(hp, wt, color = transmission)) +
geom_point() +
geom_smooth(method = "lm", formula = "y~x")
Original mtcars dataset
And here is a new sample with 50 observations of each.
sim_df(mtcars, 50 , between = "am") %>%
mutate(transmission = factor(am, labels = c("automatic", "manual"))) %>%
ggplot(aes(hp, wt, color = transmission)) +
geom_point() +
geom_smooth(method = "lm", formula = "y~x")
Simulated iris dataset
Empirical
Set empirical = TRUE to return a data frame with
exactly the same means, SDs, and correlations as the original
dataset.
exact_mtcars <- sim_df(mtcars, 50, between = "am", empirical = TRUE)Rounding
For now, the function only creates new variables sampled from a continuous normal distribution. I hope to add in other sampling distributions in the future. So you’d need to do any rounding or truncating yourself.
sim_df(mtcars, 50, between = "am") %>%
mutate(hp = round(hp),
transmission = factor(am, labels = c("automatic", "manual"))) %>%
ggplot(aes(hp, wt, color = transmission)) +
geom_point() +
geom_smooth(method = "lm", formula = "y~x")
Simulated iris dataset (rounded)
Missing data
As of faux 0.0.1.8, if you want to simulate missing data, set
missing = TRUE and sim_df will simulate
missing data with the same joint probabilities as your data. In the
dataset below, in condition B1a, 30% of W1a values are missing and 60%
of W1b values are missing. This is correlated so that there is a 100%
chance that W1b is missing if W1a is. There is no missing data for
condition B1b.
data <- sim_design(2, 2, n = 10, plot = FALSE)
data$W1a[1:3] <- NA
data$W1b[1:6] <- NA
data
#> id B1 W1a W1b
#> 1 S01 B1a NA NA
#> 2 S02 B1a NA NA
#> 3 S03 B1a NA NA
#> 4 S04 B1a -0.87577954 NA
#> 5 S05 B1a 0.27931928 NA
#> 6 S06 B1a 0.46277729 NA
#> 7 S07 B1a -0.11678369 -0.66795544
#> 8 S08 B1a 1.34454748 2.30398889
#> 9 S09 B1a -1.26771349 0.55738252
#> 10 S10 B1a -0.71258675 0.09183975
#> 11 S11 B1b -0.39607245 0.85023624
#> 12 S12 B1b -1.15357665 -0.18013489
#> 13 S13 B1b -0.21533313 1.08873598
#> 14 S14 B1b -0.42370435 0.94812875
#> 15 S15 B1b -0.05717782 0.63667947
#> 16 S16 B1b -0.12733224 -1.47331528
#> 17 S17 B1b 0.21208884 0.69005635
#> 18 S18 B1b -0.20401676 -1.01059002
#> 19 S19 B1b -1.14885697 -0.50127757
#> 20 S20 B1b 0.87586766 1.47606428The simulated data will have the same pattern of missingness (sampled from the joint distribution, so it won’t be exact).
simdat <- sim_df(data, between = "B1", n = 1000,
missing = TRUE)| B1 | W1a | W1b | n |
|---|---|---|---|
| B1a | NA | NA | 0.31 |
| B1a | not NA | NA | 0.31 |
| B1a | not NA | not NA | 0.38 |
| B1b | not NA | not NA | 1.00 |